728x90
반응형
1. Loss Function
- 사진에서 보이는 score가 낮을수록 W의 영향력도 안좋은 것이라고 말할 수 있음( 분류를 잘 하지 못했으므로 )
- W가 좋다 안좋다 정도로 정량화 할 수 있는 것이 필요함 ⇒ loss function
- W(가중치)가 얼만큼 좋고 안좋다로 나타낼 수 있는 함수가 바로 손실함수임.
- SVM loss( hinge loss )
- softmax loss( cross entropy )
1-1) Multiclass SVM loss
1-2) Regularization
- loss값이 줄어든다고 해서 좋은 model이라고는 할 수 없음 ⇒ 오버피팅 문제가 발생.
- 뿐만 아니라 위의 svm loss의 문제점인 W값이 여러개가 된다는 점에서 규제화가 나옴

ex) train에게만 맞는 것을 학습시키려고 할 때 이 정도의 패널티는 감안해야돼~ ⇒ 규제화의 기본 뜻.

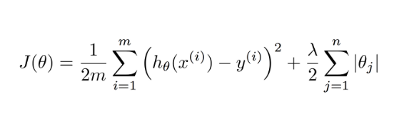
- L1 regularization(Lasso)기존 cost function 뒤에 L1항 추가.
- weight 값이 0으로 수렴하는 것이 많은 형태. 이를 Sparse matrix(희소 행렬)라고 함
- 위에서 0의 값이 많다는 이야기는 어떤 특징들은 무시하겠다는 이야기로 볼 수 있음.
- L2 regularization(Ridge)
- weight의 값이 큰 값은 점점 줄이며 대부분의 값들이 0의 가까운 값을 가지는 가우시안 분포를 가짐.
- weight이 0이 아니라는 점에서 모든 특징들을 무시하지 않고 조금씩은 참고 하겠다라고 볼 수 있음.
- 이럴 경우, L1은 w1을 선호함 → 0 이 많기 때문
- w2는 L2가 선호함 → 전체적으로 0에 가깝게 퍼져있기에.
⇒ 만약 (1,0) vector가 있을 때, L1으로 계산하면 |1|+|0|=1이 되고 L2로 계산하여도 1+0=1이 됨.⇒ 값이 균등하게 작을 때에는 L2의 값이 더 작아지게 됨. 따라서 Error에 더 작은 penalty를 주게 됨즉, L1의 경우, 값이 작아진다 한들- L1, L2 연산한 값을 Error에 더하므로 연산 결과가 작아지는 값을 선호합니다. 이 값이 너무 커져 버리면 오히려 학습하는 데 방해가 될 수 있기 때문입니다. 따라서 L1 보다 L2를 많이 사용하는 이유이기도 함.
- ⇒ 반면 (0.5,0.5) vector가 있을 때, L1으로 계산하면 |0.5|+|0.5|=1이 되지만 L2로 계산하면 0.52+0.52=0.25+0.25=0.5가 됨.
- 의문점: 왜 L1은 피처 설렉션 느낌이 되고, L2는 균등한 피처에 유용한지?
1-3) Softmax Classifier(cross entropy)
2. Optimization
- w가 좋은지 안좋은지에 관한 loss 함수를 구했음 ⇒ 어떻게 해야 좋은 weight를 찾아갈 수 있는가에 대한 답이 바로 최적화 파트.
- 산속에서 골짜기를 내려가는 것과 같음
- loss가 0인 지점을 찾아가는 것.
2-1) Random search 임의 탐색
- 그냥 랜덤하게 포인트를 찾는 것.
- 임의의 점인 w값을 랜덤하게 찍고 거기서 최적화 방법을 통해 w를 구함
- 성능 천차만별
2-2) local geometry 경사 하강법
3. 특징변환(피처 특징 추출과 같은 말)
- 사실 Linear Classification은 이미지에서는 그리 좋은 방법이 아님
- 그래서 DNN이 유행하기 전에는 Linear Classifier를 이용하기 위해서는 두가지 스테이지를 거쳐서 사용
- 이미지의 여러가지 특징표현을 계산
- 모양새, 컬러 히스토그램, edge 형태와 같은 특징표현을 연결한 특징벡터
- 이 특징벡터를 Linear Classifier에 입력값으로 사용
3-1) 컬러 히스토그램
3-2) Histogram of Oriented Gradient
3-3) Bag of words

- 이미지를 막 자름
- 이거를 클러스터같은 것으로 군집화 함
- 그러면 각도나 색깔 등의 특징이 나올 것임.
- 이후, 새로운 이미지가 들어오면 이미지를 잘라서 기존에 만든 클러스터랑 비교해 어떤 특징이 있는지 비교
- 이 방법은 NLP에서 영감을 받은 방식으로, 어떤 문장에서 여러
단어들의 발생빈도
를 세서 특징벡터로 사용하는 방식을 이미지에 적용한 것입니다.
- 우리는 이미지들을
임의대로 조각내고
, 각 조각을K-means
와 같은 알고리즘으로 군집화 합니다.
- 다양하게 구성된 각 군집들은 다양한 색과 다양한 방향에 대한 edge도 포착할 수 있습니다.
- 이러한 것들을 시각 단어(visual words) 라고 부릅니다.
728x90
반응형
'Deep Learning > 2023 DL 기초 이론 공부' 카테고리의 다른 글
[파이썬 딥러닝 파이토치] Part5 (0) | 2023.07.08 |
---|---|
[Standford_cs231n] Lecture 2 ) Image Classification (0) | 2023.07.08 |
[Standford_cs231n] Lecture 4 ) Introduction to Neural Networks (0) | 2023.07.08 |
[Standford_cs231n] Lecture 5 ) Convolutional Neural Networks (0) | 2023.07.07 |
[Standford_cs231n] Lecture 6 ) Training Neural Networks I (0) | 2023.07.07 |